核酸とタンパク質の結合機構に関する研究

平成183

お茶の水女子大学理学部

今野 美智子

 

研究目的

 核酸のなかでもRNA塩基を選択し結合するアミノアシルtRNA合成酵素(aaRS)の構造を研究する。この酵素群における塩基選択的結合の機構とその構造的共通性の解明を進める。同時に、基本的な機能を保持しつつ、進化の過程で機能的多様化を獲得する分子生物学的タンパク質進化との関連性を含めた相互比較を行う。

tRNAは、すべてに共通な3次構造を持ち、tRNAはアンチコドンの塩基の違いにより多様な構造をもつaaRSによって厳密に識別される。コドンの1番目と2番目は、各アミノ酸に対して1種類であることから、tRNAのアンチコドンの2番目と3番目の塩基は、aaRSと水素結合のような強い相互作用を形成して結合し識別されるが、特に、中心にある2番目のアンチコドンは、供与体、受容体として2つの水素結合が形成され、3番目は、1つの水素結合の形成があると予想される。一方、3番目のコドンは多様性を持つことから、アンチコドンの1番目は、aaRSと弱い相互作用と立体障害による排除の機構も働く。本研究は、tRNAのアンチコドンの3個の各塩基におけるそれぞれ独立な相互作用の機構を調べ、すべてのtRNAに共通に働くかどうか解明すること目的とし、アンチコドン結合ドメインが同じヘリックス-バンドル構造を持つクラスIaのaaRS酵素を中心に研究を進めている。コドンの使用頻度の高いものは、それに対応するアンチコドンのtRNAの反応活性が高くなる。コドンの使用頻度の変化によるアンチコドンの塩基の変化に対応して、その塩基を識別するサイトは同じであるが、認識に関与するアミノ酸残基が置換されると考えられ、それらを比較することにより関与するアミノ酸残基の情報が得られる。真性細菌である大腸菌、Thermus thermophilus (T.t)、真核生物の酵母菌、古細菌であるPyrococcus horikoshii (P.h.)のコドンの使用頻度を比較し、その使用頻度に大きな差のあるもの、その中でも、真性細菌と古細菌で使用頻度に顕著の違いがあるArgIleGlyにおいてT.t. aaRSの結晶構造は報告されており、それとの比較において古細菌、主にP.h.由来aaRSを取り上げた。

 

 

 

 

 

 


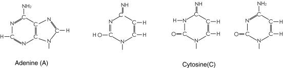
図1

表1に示すように、IleMetValは、2番目のコドンがUra、対応するアンチコドンがAdeである。他方、TrpArgGlyは、2番目のコドンがGua、アンチコドンではCytである。この2番目のアンチコドンAdeCytの識別において、図1に示すようにAde-NH2-C6=N1-で供与体、受容体として2つの水素結合を形成すると思われる。Cytは主に3つの共鳴構造を持つが、疎水的環境では中央の共鳴構造の存在率が高くなる。この共鳴構造の-N3H-C2=O-と供与体、受容体として2つの水素結合を形成することによりAdeとの識別の違いが生ずると思われる。

 

表1

 

codon

anticodon

 

codon

anticodon

 

 

 

 

Trp

UGG

CCA

 

 

Arg

CGU

CGC

CGA

CGG

 

 

AGA

AGG

ICG

 

 

CCG

 

 

UCU

CCU

Ile

AUU

AUC

AUA

AAU

GAU

UAU

Met

AUG

CAU

 

Val

GUU

GUC

GUA

GUG

 

 

UAC

CAC

 

Gly

AAU

GGC

GGA

GGG

 

GCC

UCC

CCC

 

赤:構造解析されたtRNAのアンチコドン

 

表2 Argのコドンの使用頻度とアンチコドン

codon

E.coli

Usage anticodon

T. thermophilus

Usage anticodon

Yeast

Usage anticodon

P. horikoshii

Usage anticodon

CGU

CGC

CGA

CGG

 28

 21

  3

  4

 

ICG

 

 

  1

  3

  0

 33

 

 

 

CCG

6

3

3

2

 

ICG

 

CCG

 1

 1

 1

 0

 

AGA

AGG

  1

  1

 

  1

 14

 

CCU

21

9

UCU

CCU

19

34

UCU

CCU

 

表2に示すように、Argの主な使用頻度のコドンは、大腸菌ではCGU/CGC/CGA/CGGであり、T.t.あるいは酵母菌でも広がっているが、P.h.では、AGA/AGG98%で、AGGが最も高く選択の機構がより反映される。P.h.の主なtRNAArgアンチコドンは、CCUUCUであり、酵母菌のそれは、ICGUCUである。図2に示すように3番目のアンチコドンGua Uraに共通な相互作用として-C=O-NH-との水素結合が可能である。1番目のアンチコドンCytUraに共通な部位として、Cの共鳴構造が-NH2-C=N-C=O-から-NH=C-NH-C=O-に移行するとCytNHUraC=Oとイノシン(I)C=Oの孤立電子対を共通に供与することができる。これらの共通部分がタンパク質と相互作用すると予測される。

 

2 tRNAArgのアンチコドン

P.h.    酵母菌

CCU    ICG

UCU    UCU

3番目のアンチコドン

 

 

 

 

 

 

 

 

 

 

 


1番目のアンチコドン

 

 

 

 

 

 

 

 

 


更に、ArgのアンチコドンCCUは、MetのアンチコドンCAUに対し、2番目のみが異なる。また、Ileのコドンの使用頻度は、P.h.において3種類のコドンの中でAUAが高く、Metのアンチコドンと1番目が異なるのみである。他方、T.t.IleのコドンはAUCが極端に高い。クラスIcであるTrpRSTrp2番目のアンチコドンがArgと同じCytであり、クラスIIに属するGlyRSにおいても、Gly2番目のアンチコドンがCytであり、Cytの識別に対し、クラスIと同じ結合機構が使われるか検証することの意味においてもGlyRSを研究対象とした。その他、クラスIIaaRSの触媒ドメインと同じトポロジーをもち、ATPを補酵素としMg2+イオンの存在下で反応が促進されるBiotin Protein Ligase (BirA)についても反応機構の共通性を検証するために構造解析を進めた。

 

平成17年度の研究成果

1)      P. h. ArgRSの結晶構造解析の結果

  P. h. ArgRStRNACCU)とAMP-PNPの複合体及びP. h. ArgRStRNACCU)の複合体の構造解析に成功したので、ArgRSを中心に報告する。超高度高熱菌タンパク質は溶解度が高く、種々の結晶化を試み、単独のタンパク質の結晶が得られたが、低分解能であった。複合体の形成が、溶解度を下げることから、tRNAとの複合体の結晶化を試みた。また、ArgRSN末端側に付加的なドメインをもつ。このN末端ドメインの配向がTt ArgRS酵母菌ArgRSで異なることより、tRNAとの複合体がパッキングを変える可能性を考えた。6種類のtRNAのなかで最も使用頻度の高いtRNAArg(CCU)の大量発現系を確立し精製を行った。最終的に、P.h. ArgRStRNAArgの複合体およびAMP-PNPを含む複合体の解析に成功した。反射強度測定は、Spring8PFのビームラインを用い100KにおいてCCDデイテクターで収集した。まず、ArgRStRNAAMP-PNPの複合体の構造解析を、分子置換法でT.t.ArgRSPDB:1IQ0を分子モデルとしてMOLREPを用いて行った。tRNAの分子のモデルは、酵母菌ArgRStRNAArg複合体(PDB:1F7V)のtRNAArgを用い、酵母菌ArgRST.t.ArgRSに重ねてtRNAの位置を求めた。この構造で精密化しR=40%まで収束した。P.h.ArgRS100残基のN末端ドメインについては、タンパク質のコア部分に対する相対的位置がT.t.と酵母菌のそれらに対し大きくずれており、また、tRNAについてはL字型の曲がりが若干異なっており、これらの部分における電子密度図がぼやけていた。プログラムOによりこれらの領域の構築部分を広げながら繰り返し分子構築とプログラムCNSを用いた精密化を行うことにより、全体のモデルが構築された。最終的に、ArgRStRNAAMP-PNP の複合体では、分解能2.0 ÅRfactor 0.215 (Rfree = 0.259), ArgRStRNAの複合体では、分解能2.3 ÅRfactor 0.206 (Rfree = 0.266)である。P.h.ArgRStRNAのリボンモデルを図3に示す。

 

 

 

 

 

 

 

 

 

 

 

 

 

 


3. 全長のP.h.ArgRStRNAArg(CCU)の複合体の構造

 

大腸菌由来クラスIaに属するMetRSの生化学的実験とすでに私達が報告した大腸菌とT.t. MetRS結晶構造からアンチコドンの塩基の結合部位は、アンチコドンドメインのhelix Ihelix IIIの表面とhelix IIIhelix IVを繋ぐループ(III -IVループ)の領域であることが示唆された。また、アンチコドンの1番目の塩基のみが異なるIleRSMetRSIII -IVループの変異体の実験から、このループがアンチコドンの1番目の塩基と相互作用することが報告された。MetIleValLeuは、2番目のアンチコドンがAdeであり、コドンが6種類あり、認識にtRNAlong variable armの相互作用が指摘されているLeu

 

 

 

 

 

 

 

 

 

 

 


4.tRNAMet(CAU)tRNAIle(GAU) tRNAVal(CAC)のアンチコドンの結合の比較

MetRS (Auifex aeolicusy)  IleRS (S.aureus)      T.t. ValRS

tRNAMet(CAU)の複合体    tRNAIle(GAU)の複合体    tRNAVal(CAC)の複合体

Nature Structural &,            Science 285, 1074 (1999),          Cell 103, 793 (2000)

Molecular Biology 10, 931 (2005)

3立体構造に基づくhelix Iの一次のアミノ酸配列のアライメント

PhArgRS PDKKIIFRWEDVLNFEGESAPYIQYAHARCSSILRKAEEEGIKVDPETLFKNADFT-KLSE 544

ScArgRS RINNYEFKWERMLSFEGDTGPYLQYAHSRLRSVERNASGITQEKWIN-----ADFSLLKEP 522

ThArgRS PKKQIDFRYQEALSFEGDTGPYVQYAHARAHSILRKAGEWGA----------PDLS-QATP 500

ThMetRS GQDTPVSEEALRTRYEADLADDLGNLVQRTRAMLFRFAEGRIPEPVAG              378

EcMetRS IDDIDLNLEDFVQRVNADIVNKVVNLASRNAGFINKRFDGVLASELAD              414

AaMetRS GQDGDFSKKAILNRINGELANEIGNLYSRVVNMAHKFLGGEVSGARDEE             389

ThIleRS PEADRRFGPNLVRETVRDYFLTLWNVYSFFVTYANLDRPDLKNPPPPEKRPE          674

SaIleRS DYLADVRISDEILKQTSDDYRKIRNTLRFMLGNINDFNPDTDSIPESELL            675

ThValRS TGGQDIRLDLRWLEMARNFANKLYNAARFVLLSREGFQAKEDTPT                  620

 

 
 

 

 

 

 

 

 

 

 

 

 

 

 

 

 

 

 

 

 

 

 

 

 

 

 


5. P.h.ArgRStRNAArg (CCU)          MetRStRNAMet (CAU)

 

を除いて、MetRSIleRSValRS共通でそれぞれの種でも保存されているアミノ酸残基を求めたところ、helix I上の表面に存在するAsnが共通に保存されており、MetRS (Aquifex aeolicus)tRNAMet(CAU)IleRS (S.aureus)tRNAIle(GAU)T.t. ValRStRNAVal(CAC)のそれぞれの複合体で、2番目のアンチコドンAdehelix I上の保存されたAsnArg/Pheの間に存在し、Asnの側鎖と水素結合は必ずしも観測されないが、ほぼ予想された位置を占める(図4)。

一方、ArgRSでは、対応する位置にTyrが保存されている(表3、図5)。P.h. ArgRSにおいて、2番目のC35helix III上のTyr587とスタックし、塩基がIII-IVループの骨格のCONHと水素結合を形成し、helix I上の保存されたTyr509から遠く離れている。更に、選択に関与する1番目のアンチコドンC34は、2番目C35の塩基の環と重なり、外を向きタンパク質との相互作用は見られない。3番目のアンチコドンU36 の塩基は、helix IC末端ループの間の空間に存在するのみで、特別な相互作用は見られない。明らかにこのようにアンチコドンの塩基が位置するとは考えられない。すでに報告された酵母菌 ArgRStRNAArg(ICG)でも同様に、2番目のChelix III上のTyr565とスタックし、塩基がIII-IVループの骨格のCONHと水素結合を形成し、予想されたhelix I上のTyr491

 

 

 

 

 

 

 

 

 

 

 

 


図6.P.h.ArgRStRNAArg(CCU)       酵母菌ArgRStRNAArg(ICG)

                                              EMB J. 19, 5599 (2000)

から遠く離れている。この結果は、2番目のアンチコドンの塩基の結合サイトについて統一的な説明が出来ない。更に、酵母菌tRNAArg(ICG)では、1番目のIの塩基の環が2番目のCと、III-IVループの酵母菌特有のTrp569の芳香環を挟んでスタックしている。MetRSでは、対応する位置にあるTrpに対し1番目のCytの位置は、Trpの芳香環に対しtRNAArg(ICG)1番目のIとは逆側すなわち2番目のCの側にある。

ArgRSのアンチコドンの塩基の結合位置が予想から大きくずれている要因として、ArgRS特有の付加的N末端ドメインとtRNA間の結晶化における相互作用がある。この全長のP.h. ArgRStRNAの複合体の構造において、L字形状の屈曲部とN末端ドメインとの相互作用すなわち、DループのA20N末端ドメインのS3ストランド上のAsn87間の水素結合とA20の塩基とS3上のTyr85のスタッキング型の相互作用が見られた。酵母菌由来ArgRStRNAの複合体においても、同様に屈曲部とN末端ドメインの間で相互作用が見られる。他方、酵母菌ArgRSにおいて、これらのN106Q110のアミノ酸残基の変異体のアミノアシル化反応実験は、tRNAに対する親和性が野生型と変らないこと、すなわちこれらの相互作用がないことを示した。更に、P.h.Arg のコドンのusage が99%を占めているAGAAGGに対応するtRNA(UCU)tRNA(CCU)Dループは、前者は9個

 

図7. P.h. ArgRS (blue) tRNAArg (green)の複合体と

酵母菌ArgRS (cyan) tRNAArg (yellow)の複合体を重ね合わせた図

 
render (Raster3D) input file, MolScript v2.1.2, Copyright (C) 1997-1998 Per J. K8X?

 

 

 

 

 

 

 

 

 

 

 

 

 

 

 

 

 

 

 

 

 


Codon Usage

D loop

anticodon

AGA   19

AGC AGGATA

CUUCUAA

AGG   34

AGCCAGGACA

CUCCUAA

 

の塩基、後者は10 個の塩基で構成されており、4番目が1つ欠けたtRNA(UCU)tRNA(CCU)において20番目のAdeが同じ配向を取る可能性は低いと思われる。

最初にtRNAArgのアンチコドンがArgRSに結合した後、結晶化においてDループとの相互作用により、本来の位置から動いたとすると予想との違いが説明できる。tRNAArgのアンチコドンが最初にどこと結合するかを明らかにするため、次に、N末端ドメイン欠損型ArgRStRNAArgの複合体の立体構造解析を計画した。N末端ドメイン欠損型ArgRSとしてDループとN末端ドメインとの相互作用すべて除くために、S3からN末端側を除くこととし、また、組換え発現において、蛋白質フォールディングに影響を及ぼさないことも考慮し、98番目を切断箇所とした。欠損型ArgRS遺伝子をpET28c組み込んだ発現ベクターを構築し、大腸菌BL21(DE3)codon+N末にHis-tag付加したタンパク質の大量発現、精製は確立した。

その他、P.holikoshii由来IleRSはコントラストの作成が困難であったため、P.h.とほぼ同じコドンの使用頻度を示す古細菌Metthanococcus jannashii由来全長IleRS1050残基)について進めた。N末端にHisTag 付きのコンストラクトを作成しpET28c組み込んだ発現ベクターを構築し、大腸菌XL1-blueに形質転換しプラスミドの抽出・精製を行った。このプラスミドの発現は検討中である。アンチコドン結合ドメインとtRNAのアンチコドンとの結合を比較するためには、アンチコドン結合ドメインのC末端側にあるドメインは、アンチコドンの最初の結合に関与しないと予想し、このC末端側ドメイン欠損型IleRS790残基)についても研究を進めた。欠損型IleRS遺伝子をpET28c組み込んだ発現ベクターを構築し、大腸菌BL21(DE3)codon+で大量発現させ、Ni-NTA Superflowカラム、Heparinカラムを通して精製した。現在、結晶化の条件検討を行っている。P.h. GlyRSP.h. TrpRSについても同様にpET28cに組み込んだ発現ベクターを構築し、BL21(DE3)codon+で大量発現し精製を行った。これらのタンパク質も結晶化を試みているが、現在のところP.h. TrpRSについては、得られた結晶の強度測定を行ったが、低分解能であった。今後、tRNAとの複合体の構造解析も進める予定である。

 

2)BirAbiotin複合体の構造解析の結果

 Biotin Protein ligase (BirA)は、ATPを補酵素としMg2+イオン存在下でビオチン酵素のLysBiotinを付加する反応を触媒する(式1)。この酵素反応は、aaRSにおいてATPを補酵素としMg2+イオン存在下でtRNAにアミノ酸を付加する反応に対応する(式2)。

 

Biotin + apoprotein + ATP    biotinyl-holoprotein + AMP + PPi    (式1)

                       BirA, Mg2+

amino acid + tRNA + ATP    aminoacyl-tRNA + AMP + PPi   (式2)

                       aaRS, Mg2+

更に、E.coliBirAPDB:1BIAの構造が、aaRSのクラスIIの触媒ドメインと同じ逆平行b-シートから成ることが示された。クラスIIに属するaaRSThermus thermophilusT.t.由来BirA297残基)の構造の比較から、ATP Mg2+イオンのタンパク質への配位の共通性を見出すためにT.t.由来BirABiotinの複合体及びBirA単独の立体構造を決めた。反射強度は、Spring8及びPFで収集した。すでに解析されたE. coli由来BirA PDB1BIA)をサーチモデルとして分子置換法を行ったが解が得られなかった。V27ML210ML251M3残基を置換したmutantを作成し、SeMetタンパク質を用いてMAD測定を行い、プログラムSOLVE/RESOLVEで位相を求め、電子密度図からE. coli由来BirAのモデルを参考に分子構造を構築した。現在のところBirABiotinの複合体は、分解能2.35 Åで、Rfactor0.235Rfree=0.294)である。単独のBirAについては、2種類の結晶、結晶I(tetra)tetrahedralP41211、分解能3.1 Å)と結晶IIortho)(orthorhombicP212121、分解能3.0 Å)が得られた。 現在、結晶I(tetra)は、Rfactor0.236Rfree=0.356)、結晶II(ortho) は、Rfactor0.259Rfree=0.363)である。

T.h. BirABiotinの複合体の構造を図9に示す。T.h. BirAは、helix-turn-helix motifを含むN末端ドメイン、7本の逆平行bストランドから成るb-シート構造をもつ中央の触媒ドメイン、C末端ドメインから成る。Biotinの結合したBirA と単独の結晶I(tetra)、結晶II(ortho)BirACaを重ねると各ドメインの構造は、保存されているが、全体としてドメイン間の相対的配向がずれている。N末端ドメインと触媒ドメインは、残基57-74にわたる長いヒンジで繋がれている。C末端ドメインと触媒ドメイン間の相互作用は、多くの種

Catalytic domain

 

N-terminal domain

 

C-terminal domain

 
Adobe Systems

図9.T.h. BirABiotinの複合体のリボンモデル

で保存されているL279W163 の側鎖の間に見られる。興味あることに、Biotinが結合したBirA と単独のBirAの結晶I(tetra)では、これらのドメイン間で同じ配向を取るが、単独のBirA結晶II(ortho) は大きくずれている。W163b6-b7のターン(162-KWPND- 166)に含まれ、このターンの配向が前者とBirA結晶II(ortho)で異なる。

BirAの触媒ドメインは、クラスIIaaRSと同じトポロジーを持つ。図10にBirA の触媒ドメインとクラスIIに属するhistidyl-tRNA synthetasePDB:1HTT)の触媒ドメインの活性部位の比較を示す。histidyl-tRNA synthetaseの活性部位であるモチーフ2とモチーフ3に対応して、BirAではそれぞれb4b5とその間のループとb9がある。ATPのアデニン塩基は、aaRSでは、モチーフ2のループ、BirAでは、b4-b5間ループ近傍にある。Biotinのウレイド環は、b-シ−トのb8b9 b4-b5の間のループに挟まれている。b8174-KLAGVLIE-181KGLEb9194-LGVGVNV-200GGNは分子の表面にあり、多くの種で保存されている。b4-b5間ループは、GRリッチな配列110-GRGRRGR-116を含んでおり、ほとんどの種で保存されている。BirA単独の結晶では、111から118残基の領域では乱れがあり、電子密度が観測されない。すべての種に保存されているb8Lys174は、Biotinの吉草酸のカルボキシル基を攻撃可能な位置にあるにも係わらずBiotinはこのLys残基には転移されない。ATPのリン酸基は、b6-b7のターン近傍に存在すると思われる。このb6-b7のターンの配列162-KWPND-166は、P164以外調べられた全ての種において保存されている。今後、これまで解析されたクラスIIaaRSとの立体構造の比較を行い、基質Biotinとアミノ酸、ATPの配向についてその共通の機構を検討する。

 

 

 

 

 

 

 

 

 

 

 

 

 

 

 

 

 


構造解析の過程にあるタンパク質の数及び状況

 

 

タンパク質の名前

発現・精製

結晶化

分解能

構造解析

1

P.h. ArgRSP.h. tRNAの複合体

 ○

2.0 Å

解析終了

2

P.h. ArgRSP.h. tRNAArg(CCU)ATP-PNPの複合体

 ○

2.0 Å

解析終了

3

P.h. GlyRS

 △

 

 

4

P.h. TrpRS

10 Å

 

5

M.j. IleRS

 

 

6

T.t. BirAbiotinの複合体

 ○

2.35Å

ほぼ解析終了

7

T.t. BirA単独

 ○

3.1 Å

解析中

 

     ArgRS:アルギニル-tRNA合成酵素、GlyRS:グリシル-tRNA合成酵素、TrpRS:トリプトファニル-tRNA合成酵素、IleRS:イソロイシル-tRNA合成酵素

     T.tThermus termophilusP.hPyrococcus horikoshiiM.j.Metthanococcus jannashii

・○:成功、△:検討中

 

PDBへの登録状況4

     PDB Entry No 1vdn酵母菌サイクロフィリンAtetrapeptideの複合体の結晶構造

     PDB Entry No 1w0y:高度好熱菌由来メチオニル-tRNA合成酵素Y225F変異体(isopropanol)の結晶構造

    PDB Entry No 2d5b:高度好熱菌由来メチオニル-tRNA合成酵素Y225F変異体(PEG6000)の結晶構造

    PDB Entry No 2d54:高度好熱菌由来メチオニル-tRNA合成酵素Y225A変異体の結晶構造